Официальное опубликование правовых актов
ОФИЦИАЛЬНОЕ ОПУБЛИКОВАНИЕ
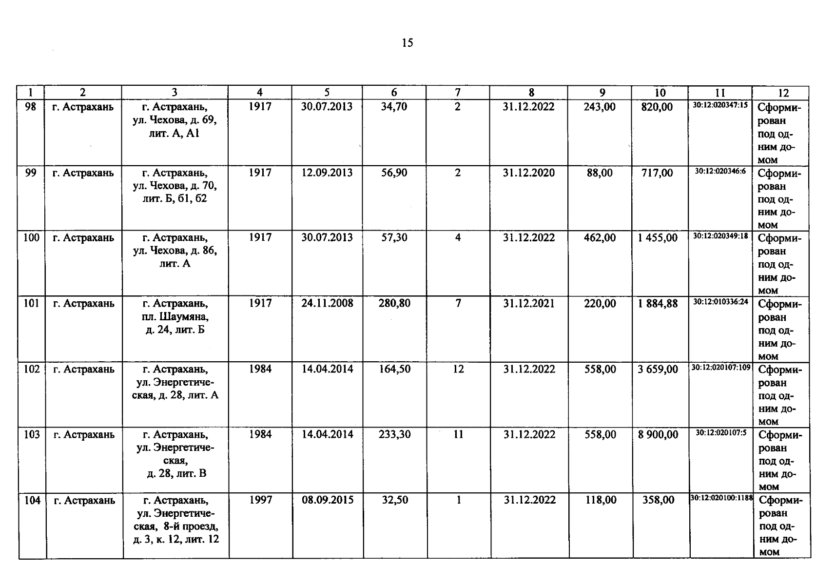
Постановление Правительства Астраханской области от 12.03.2024 № 122-П
"О внесении изменений в постановление Правительства Астраханской области от 08.04.2019 № 112-П"
Номер опубликования: 3000202403140003
Дата опубликования: 14.03.2024
Страница №17 из 51:
Увеличить