Официальное опубликование правовых актов
ОФИЦИАЛЬНОЕ ОПУБЛИКОВАНИЕ
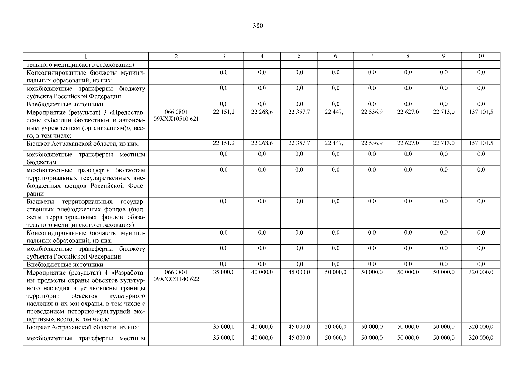
Постановление Правительства Астраханской области от 13.09.2023 № 538-П
"О государственной программе "Развитие культуры в Астраханской области"
Номер опубликования: 3000202309220007
Дата опубликования: 22.09.2023
Страница №383 из 402:
Увеличить