Официальное опубликование правовых актов
ОФИЦИАЛЬНОЕ ОПУБЛИКОВАНИЕ
Постановление Правительства Астраханской области от 06.09.2023 № 505-П
"О внесении изменений в постановление Правительства Астраханской области от 08.10.2014 № 429-П"
Номер опубликования: 3000202309090004
Дата опубликования: 09.09.2023
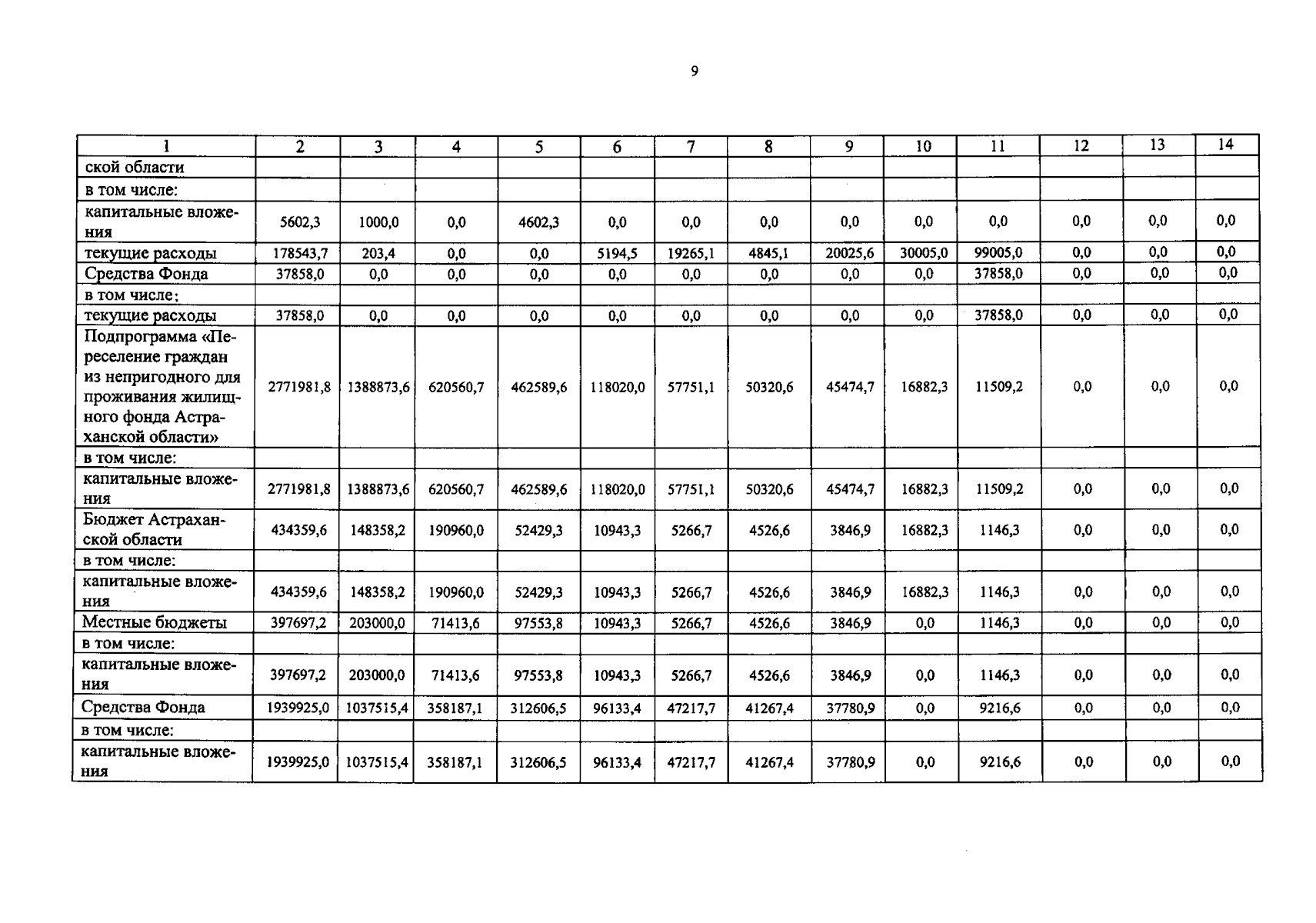
Страница №91 из 178:
Увеличить