Официальное опубликование правовых актов
ОФИЦИАЛЬНОЕ ОПУБЛИКОВАНИЕ
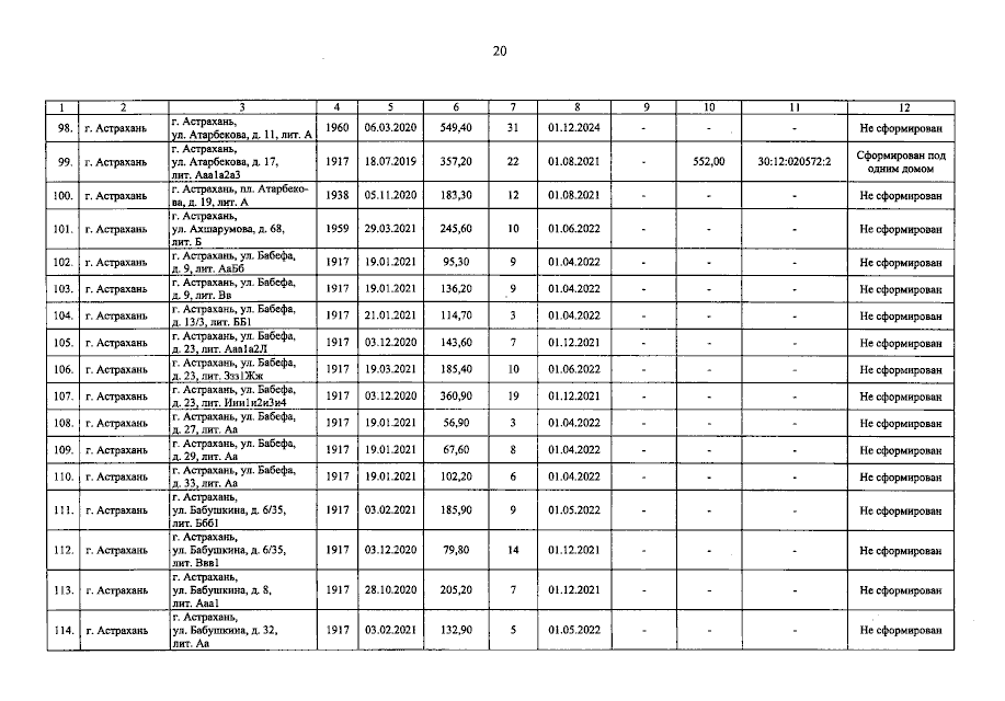
Постановление Правительства Астраханской области от 23.06.2023 № 344-П
"О региональной адресной программе Астраханской области "Переселение граждан из аварийного жилищного фонда в 2023–2027 годах"
Номер опубликования: 3000202306260001
Дата опубликования: 26.06.2023
Страница №21 из 95:
Увеличить