Официальное опубликование правовых актов
ОФИЦИАЛЬНОЕ ОПУБЛИКОВАНИЕ
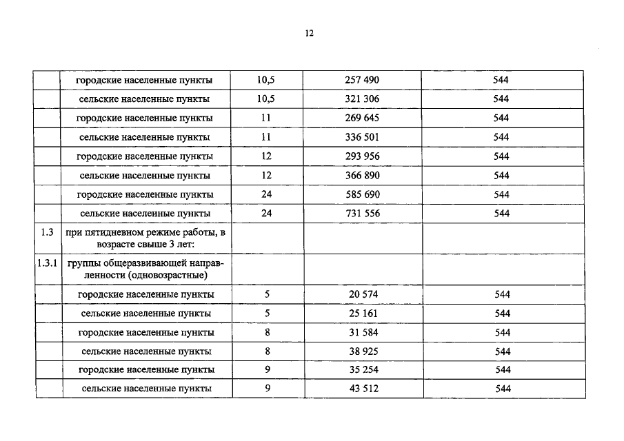
Постановление Правительства Астраханской области от 28.03.2023 № 115-П
"О внесении изменений в постановление Правительства Астраханской области от 04.03.2014 № 58-П"
Номер опубликования: 3000202304040003
Дата опубликования: 04.04.2023
Страница №15 из 105:
Увеличить