Официальное опубликование правовых актов
ОФИЦИАЛЬНОЕ ОПУБЛИКОВАНИЕ
Постановление Правительства Астраханской области от 27.03.2023 № 105-П
"О внесении изменения в постановление Правительства Астраханской области от 10.09.2014 № 371-П"
Номер опубликования: 3000202304040001
Дата опубликования: 04.04.2023
Страница №109 из 1162:
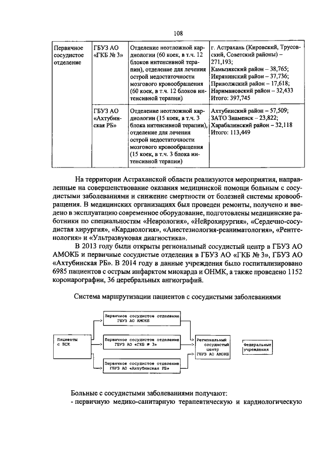
Увеличить