Официальное опубликование правовых актов
ОФИЦИАЛЬНОЕ ОПУБЛИКОВАНИЕ
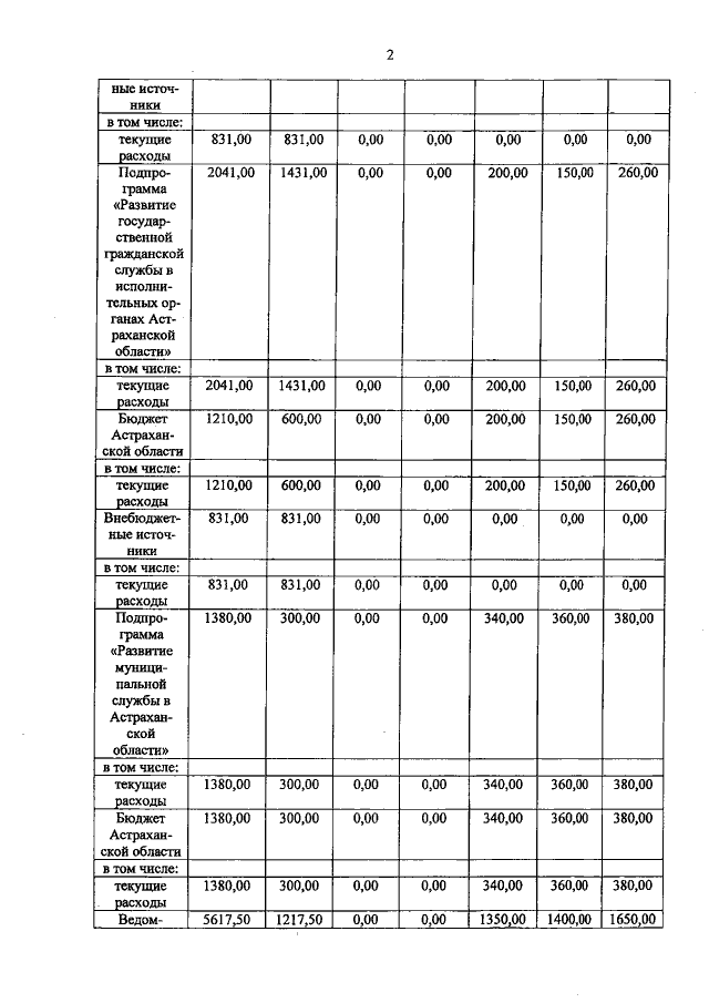
Постановление Правительства Астраханской области от 14.10.2022 № 479-П
"О внесении изменений в постановление Правительства Астраханской области от 12.03.2020 № 98-П"
Номер опубликования: 3000202210180005
Дата опубликования: 18.10.2022
Страница №8 из 10:
Увеличить