Официальное опубликование правовых актов
ОФИЦИАЛЬНОЕ ОПУБЛИКОВАНИЕ
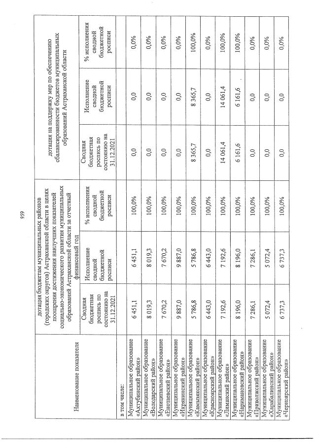
Закон Астраханской области от 06.07.2022 № 47/2022-ОЗ
"Об исполнении бюджета Астраханской области за 2021 год"
Номер опубликования: 3000202207070020
Дата опубликования: 07.07.2022
Страница №963 из 1133:
Увеличить