Официальное опубликование правовых актов
ОФИЦИАЛЬНОЕ ОПУБЛИКОВАНИЕ
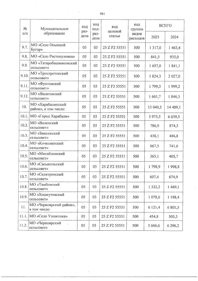
Закон Астраханской области от 17.12.2021 № 128/2021-ОЗ
"О бюджете Астраханской области на 2022 год и на плановый период 2023 и 2024 годов"
Номер опубликования: 3000202112220002
Дата опубликования: 22.12.2021
Страница №981 из 1077:
Увеличить