Официальное опубликование правовых актов
ОФИЦИАЛЬНОЕ ОПУБЛИКОВАНИЕ
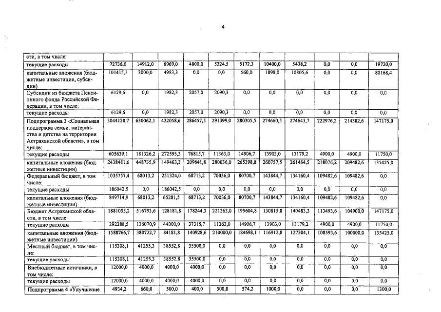
Постановление Правительства Астраханской области от 16.09.2021 № 409-П
"О внесении изменений в постановление Правительства Астраханской области от 12.09.2014 № 399-П"
Номер опубликования: 3000202109220001
Дата опубликования: 22.09.2021
Страница №123 из 189:
Увеличить