Официальное опубликование правовых актов
ОФИЦИАЛЬНОЕ ОПУБЛИКОВАНИЕ
Постановление Правительства Астраханской области от 02.04.2021 № 119-П
"О внесении изменений в постановление Правительства Астраханской области от 10.09.2014 № 368-П"
Номер опубликования: 3000202104080014
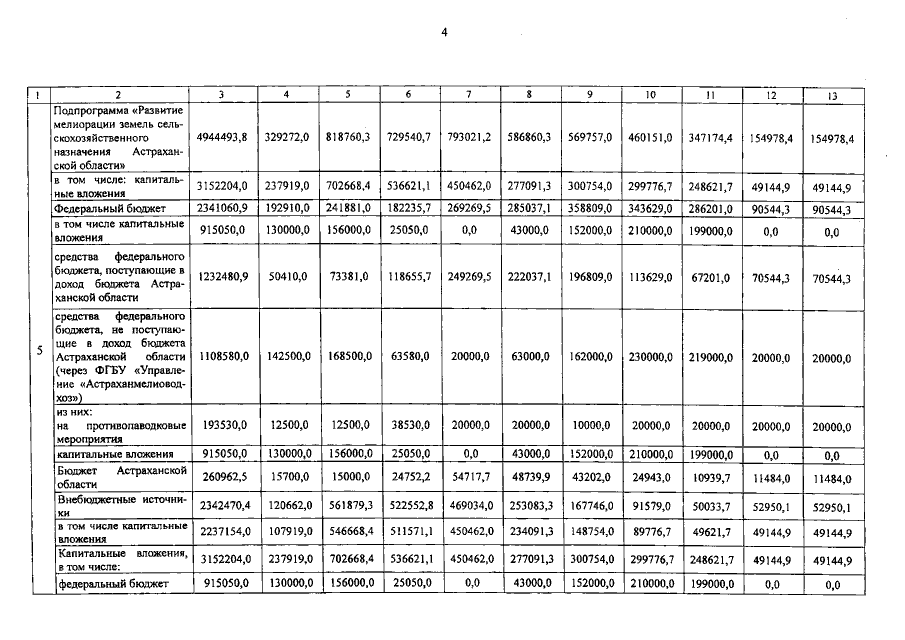
Дата опубликования: 08.04.2021
Страница №133 из 154:
Увеличить