Официальное опубликование правовых актов
ОФИЦИАЛЬНОЕ ОПУБЛИКОВАНИЕ
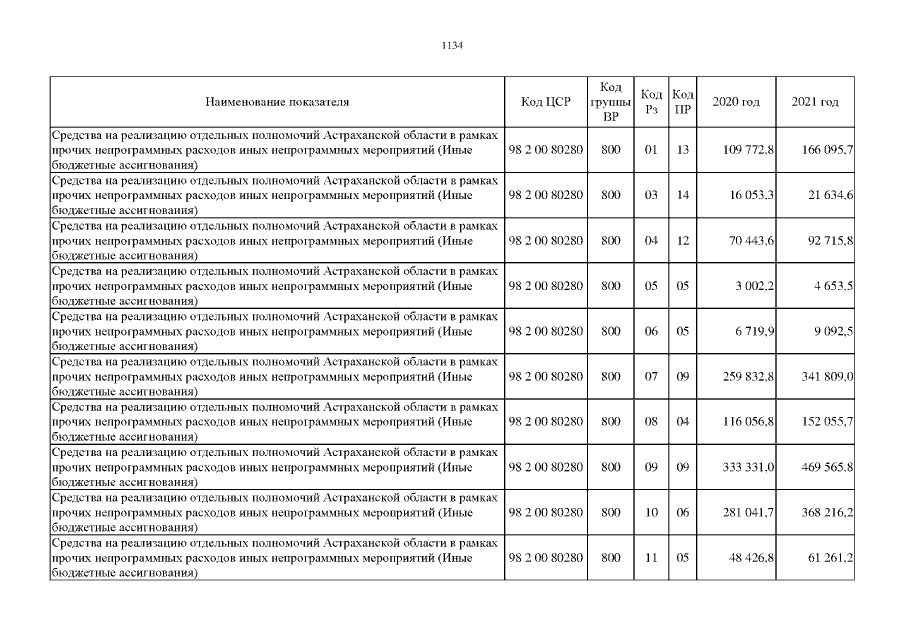
Закон Астраханской области от 16.05.2019 № 24/2019-ОЗ "О внесении изменений в Закон Астраханской области "О бюджете Астраханской области на 2019 год и на плановый период 2020 и 2021 годов"
Номер опубликования: 3000201905240001
Дата опубликования: 24.05.2019
Страница №1134 из 1250:
Увеличить