Официальное опубликование правовых актов
ОФИЦИАЛЬНОЕ ОПУБЛИКОВАНИЕ
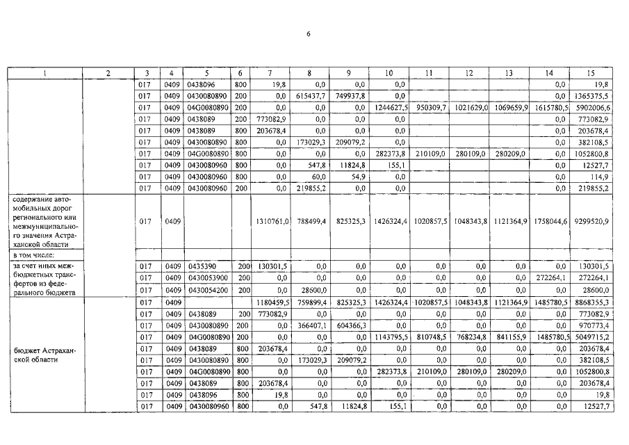
Постановление Правительства Астраханской области от 08.04.2019 № 113-П "О внесении изменений в постановление Правительства Астраханской области от 07.10.2014 № 427-П"
Номер опубликования: 3000201904150002
Дата опубликования: 15.04.2019
Страница №66 из 153:
Увеличить