Официальное опубликование правовых актов
ОФИЦИАЛЬНОЕ ОПУБЛИКОВАНИЕ
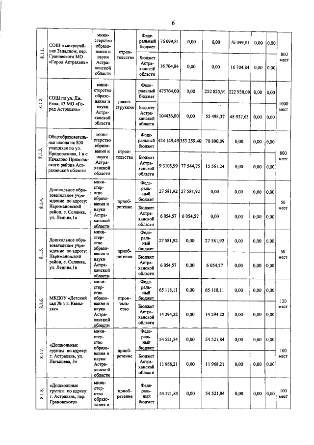
Постановление Правительства Астраханской области от 16.05.2018 № 184-П "О внесении изменений в постановление Правительства Астраханской области от 30.10.2017 № 404-П"
Номер опубликования: 3000201805180001
Дата опубликования: 18.05.2018
Страница №6 из 7:
Увеличить