Официальное опубликование правовых актов
ОФИЦИАЛЬНОЕ ОПУБЛИКОВАНИЕ
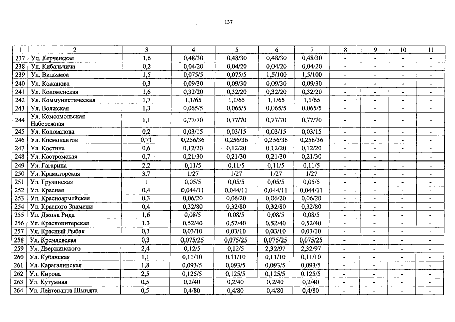
Постановление Правительства Астраханской области от 31.01.2018 № 29-П "О внесении изменений в постановление Правительства Астраханской области от 07.10.2014 № 427-П"
Номер опубликования: 3000201802070003
Дата опубликования: 07.02.2018
Страница №197 из 216:
Увеличить