Официальное опубликование правовых актов
ОФИЦИАЛЬНОЕ ОПУБЛИКОВАНИЕ
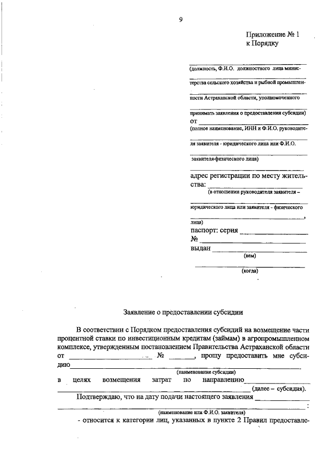
Постановление Правительства Астраханской области от 01.09.2017 № 294-П "О Порядке предоставления субсидий на возмещение части процентной ставки по инвестиционным кредитам (займам) в агропромышленном комплексе"
Номер опубликования: 3000201709080038
Дата опубликования: 08.09.2017
Страница №10 из 15:
Увеличить