Официальное опубликование правовых актов
ОФИЦИАЛЬНОЕ ОПУБЛИКОВАНИЕ
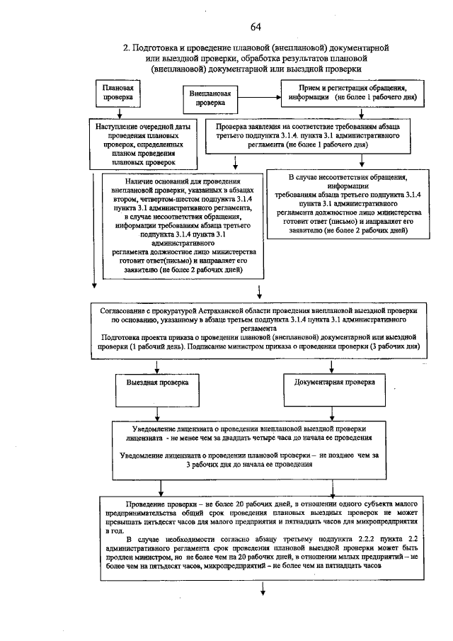
Постановление Губернатора Астраханской области от 19.07.2017 № 57 "Об административном регламенте министерства образования и науки Астраханской области исполнения государственной функции «Осуществление контроля за соблюдением лицензиатом лицензионных требований при осуществлении образовательной деятельности»"
Номер опубликования: 3000201707250005
Дата опубликования: 25.07.2017
Страница №66 из 77:
Увеличить