Официальное опубликование правовых актов
ОФИЦИАЛЬНОЕ ОПУБЛИКОВАНИЕ
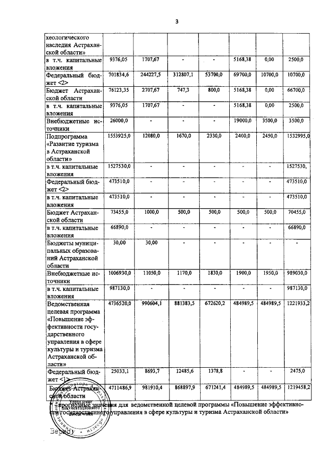
Постановление Правительства Астраханской области от 13.02.2017 № 41-П "О внесении изменений в постановление Правительства Астраханской области от 12.09.2014 № 388-П"
Номер опубликования: 3000201702210009
Дата опубликования: 21.02.2017
Страница №18 из 288:
Увеличить