Официальное опубликование правовых актов
ОФИЦИАЛЬНОЕ ОПУБЛИКОВАНИЕ
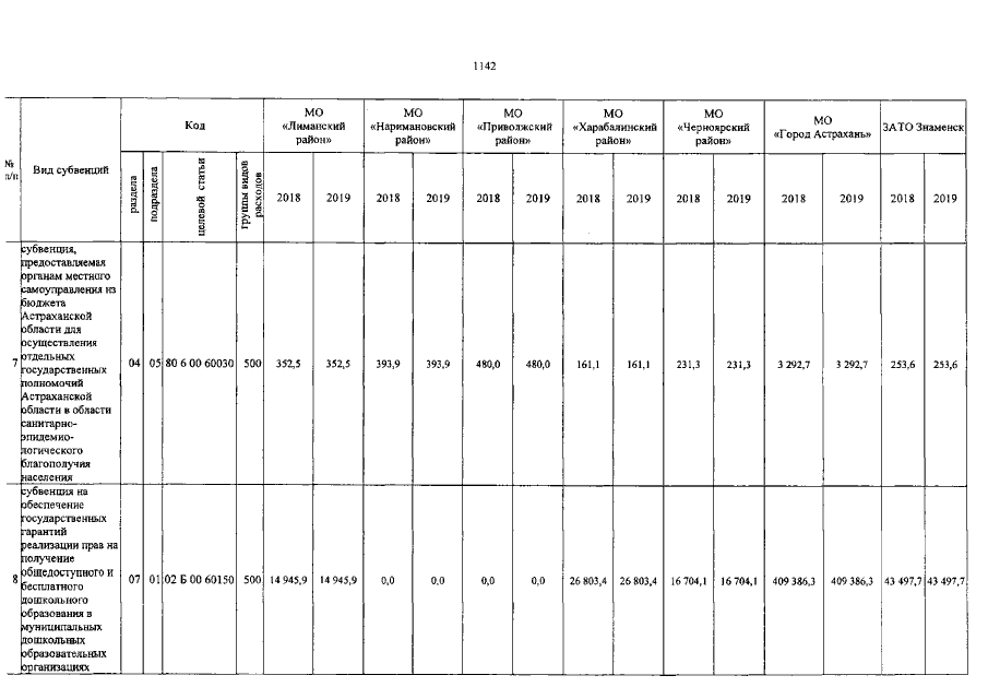
Закон Астраханской области от 09.02.2017 № 4/2017-ОЗ
"О внесении изменений в Закон Астраханской области "О бюджете Астраханской области на 2017 год и на плановый период 2018 и 2019 годов"
Номер опубликования: 3000201702130003
Дата опубликования: 13.02.2017
Страница №1142 из 1183:
Увеличить