Официальное опубликование правовых актов
ОФИЦИАЛЬНОЕ ОПУБЛИКОВАНИЕ
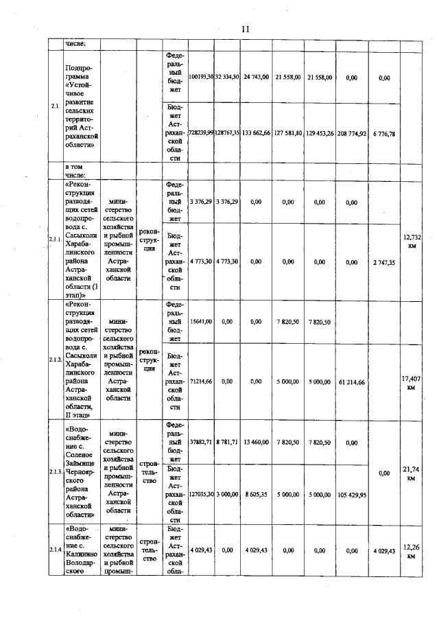
Постановление Правительства Астраханской области от 26.12.2016 № 470-П "О внесении изменений в постановление Правительства Астраханской области от 23.11.2015 №582-П"
Номер опубликования: 3000201612280003
Дата опубликования: 28.12.2016
Страница №11 из 20:
Увеличить