Официальное опубликование правовых актов
ОФИЦИАЛЬНОЕ ОПУБЛИКОВАНИЕ
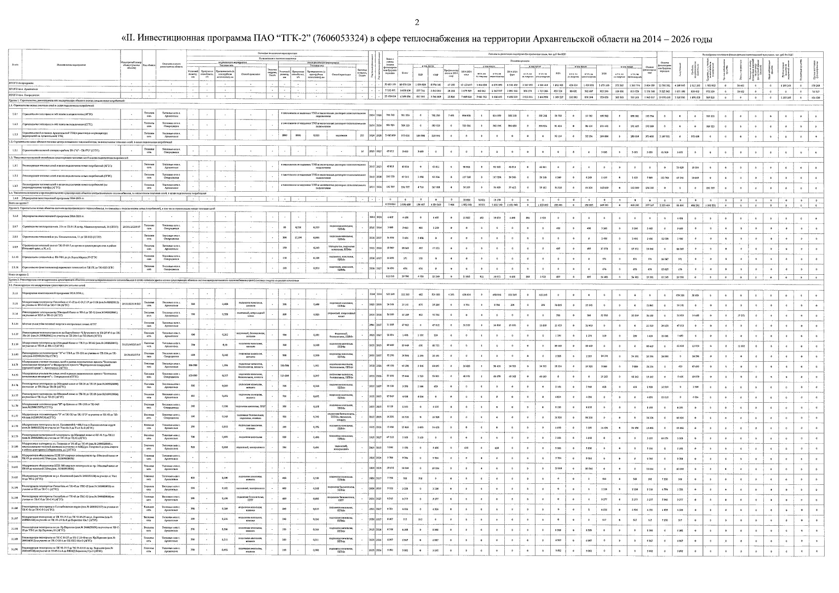
Постановление Министерства топливно-энергетического комплекса и жилищно-коммунального хозяйства Архангельской области от 22.01.2026 № 9-п
"О внесении изменений в инвестиционную программу ПАО "ТГК-2" (7606053324) в сфере теплоснабжения на территории Архангельской области на 2014 – 2026 годы"
(Зарегистрирован 27.01.2026 № 29-2026-203/28)
Номер опубликования: 2901202601270001
Дата опубликования: 27.01.2026
Страница №3 из 45:
Увеличить