Официальное опубликование правовых актов
ОФИЦИАЛЬНОЕ ОПУБЛИКОВАНИЕ
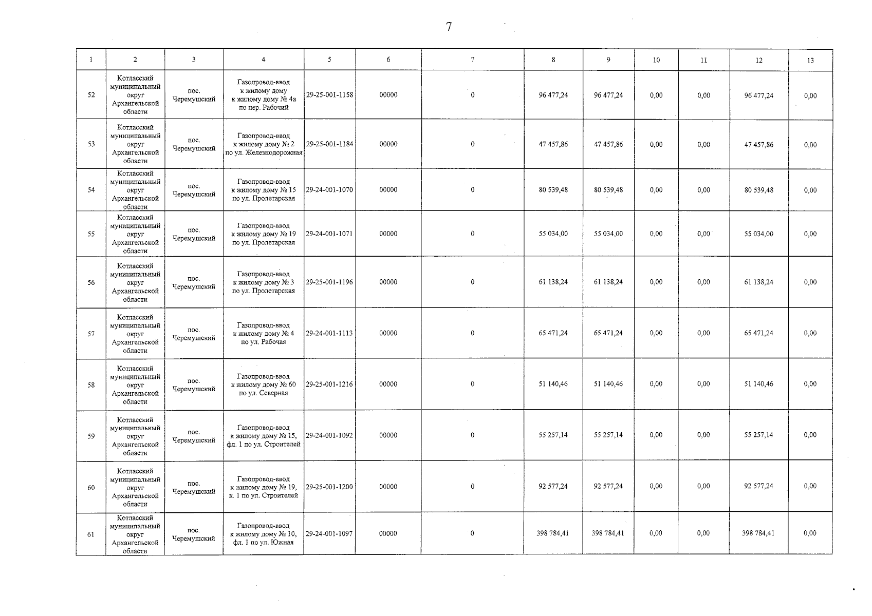
Постановление агентства по тарифам и ценам Архангельской области от 04.12.2025 № 66-п/17
"Об утверждении размера экономически обоснованных расходов ООО "Котласгазсервис" на выполнение мероприятий по технологическому присоединению в рамках мероприятий по догазификации за 3 квартал 2025 года"
(Зарегистрирован 09.12.2025 № 29-2025-313/1155)
Номер опубликования: 2901202512090001
Дата опубликования: 09.12.2025
Страница №9 из 10:
Увеличить