Официальное опубликование правовых актов
ОФИЦИАЛЬНОЕ ОПУБЛИКОВАНИЕ
Постановление Министерства финансов Архангельской области от 31.10.2025 № 35-пф
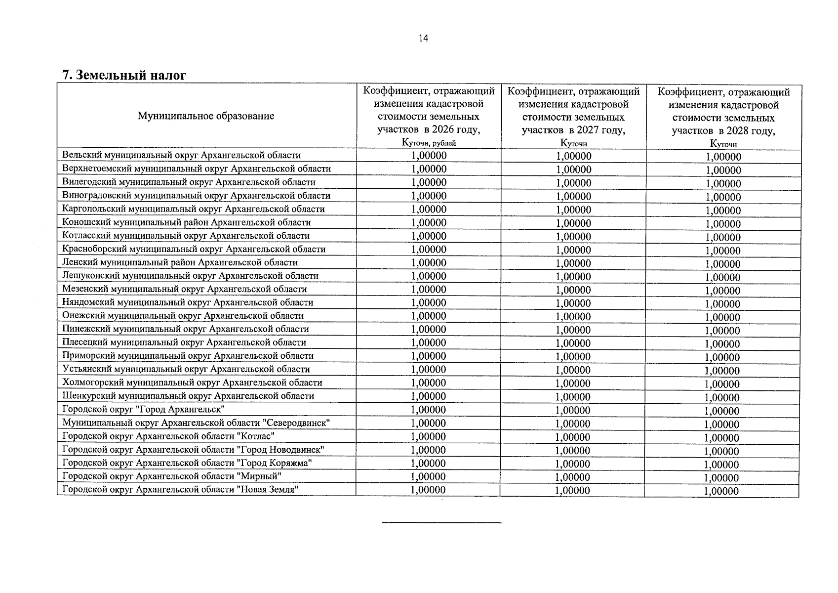
"Об утверждении отдельных показателей для расчета дотаций на выравнивание бюджетной обеспеченности поселений и дотаций на выравнивание бюджетной обеспеченности муниципальных районов (муниципальных округов, городских округов) на 2026 год и на плановый период 2027 и 2028 годов"
(Зарегистрирован 01.11.2025 № 29-2025-207/1017)
Номер опубликования: 2901202511050001
Дата опубликования: 05.11.2025
Страница №17 из 18:
Увеличить