Официальное опубликование правовых актов
ОФИЦИАЛЬНОЕ ОПУБЛИКОВАНИЕ
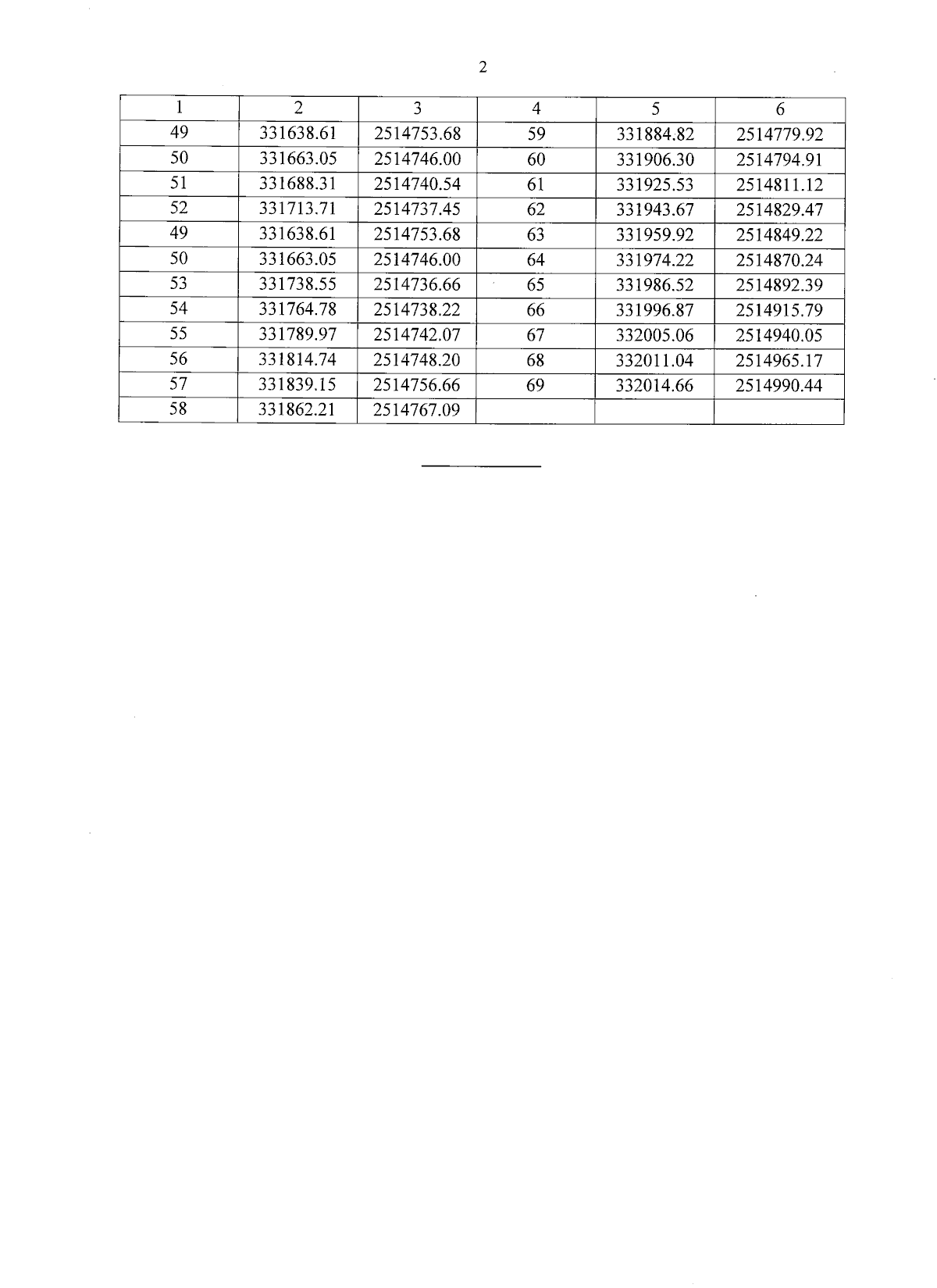
Постановление Министерства природных ресурсов и лесопромышленного комплекса Архангельской области от 15.05.2025 № 31п
"Об установлении зоны санитарной охраны источника питьевого и хозяйственно-бытового водоснабжения"
(Зарегистрирован 16.05.2025 № 29-2025-204/402)
Номер опубликования: 2901202505160003
Дата опубликования: 16.05.2025
Страница №6 из 6:
Увеличить