Официальное опубликование правовых актов
ОФИЦИАЛЬНОЕ ОПУБЛИКОВАНИЕ
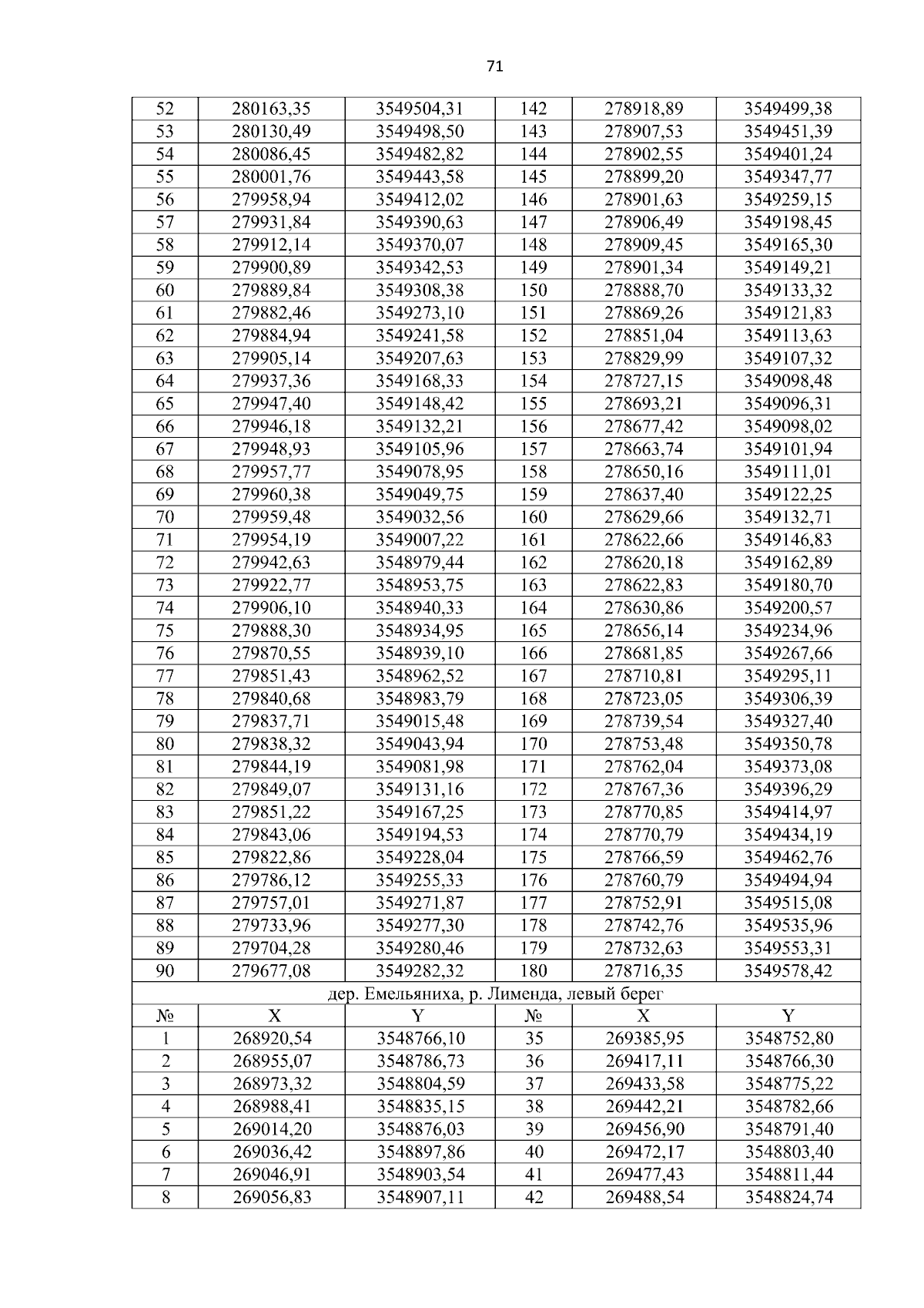
Постановление Министерства природных ресурсов и лесопромышленного комплекса Архангельской области от 27.11.2024 № 74п
"О внесении изменений в постановление министерства природных ресурсов и лесопромышленного комплекса Архангельской области от 3 февраля 2020 года № 8п"
(Зарегистрирован 28.11.2024 № 29-2024-204/982)
Номер опубликования: 2901202411280003
Дата опубликования: 28.11.2024
Страница №72 из 85:
Увеличить