Официальное опубликование правовых актов
ОФИЦИАЛЬНОЕ ОПУБЛИКОВАНИЕ
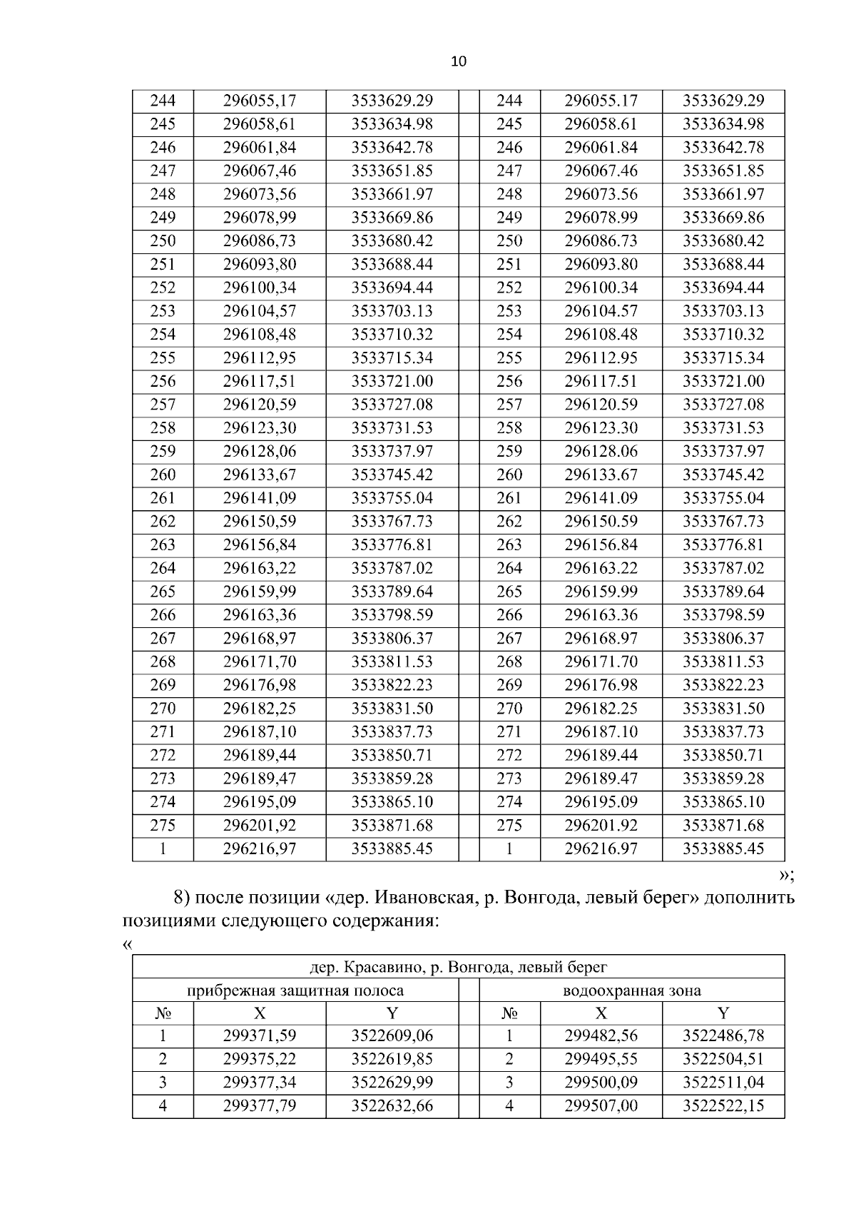
Постановление Министерства природных ресурсов и лесопромышленного комплекса Архангельской области от 27.11.2024 № 75п
"О внесении изменений в постановление министерства природных ресурсов и лесопромышленного комплекса Архангельской области от 13 декабря 2017 года № 37п"
(Зарегистрирован 28.11.2024 № 29-2024-204/983)
Номер опубликования: 2901202411280001
Дата опубликования: 28.11.2024
Страница №11 из 107:
Увеличить