Официальное опубликование правовых актов
ОФИЦИАЛЬНОЕ ОПУБЛИКОВАНИЕ
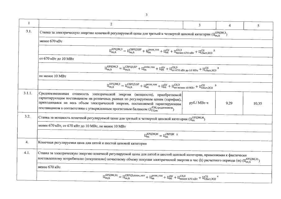
Постановление агентства по тарифам и ценам Архангельской области от 27.12.2019 № 88-э/33
"Об установлении цен (тарифов) на электрическую энергию (мощность), поставляемую АО "Газпром энергосбыт" покупателям на розничных рынках на территориях, объединенных в неценовые зоны оптового рынка, за исключением электрической энергии (мощности), поставляемой населению и приравненным к нему категориям потребителей и о внесении изменения в постановление агентства по тарифам и ценам Архангельской области от 28 января 2019 года № 3-э/2"
Номер опубликования: 2901201912310036
Дата опубликования: 31.12.2019
Страница №5 из 34:
Увеличить