Официальное опубликование правовых актов
ОФИЦИАЛЬНОЕ ОПУБЛИКОВАНИЕ
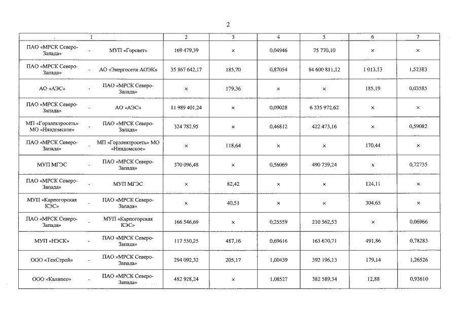
Постановление агентства по тарифам и ценам Архангельской области от 27.12.2019 № 88-э/26
"Об установлении индивидуальных тарифов на услуги по передаче электрической энергии для взаиморасчетов между сетевыми организациями"
Номер опубликования: 2901201912310005
Дата опубликования: 31.12.2019
Страница №3 из 5:
Увеличить