Официальное опубликование правовых актов
ОФИЦИАЛЬНОЕ ОПУБЛИКОВАНИЕ
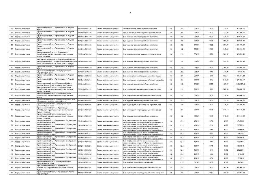
Постановление Министерства имущественных отношений Архангельской области от 21.11.2019 № 16-п
"Об утверждении результатов определения кадастровой стоимости земельных участков в составе земель населенных пунктов и земель сельскохозяйственного назначения на территории Архангельской области"
Номер опубликования: 2901201911260002
Дата опубликования: 26.11.2019
Страница №4 из 14536:
Увеличить