Официальное опубликование правовых актов
ОФИЦИАЛЬНОЕ ОПУБЛИКОВАНИЕ
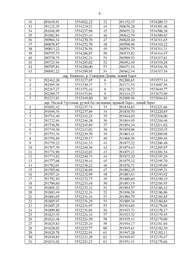
Постановление Министерства природных ресурсов и лесопромышленного комплекса Архангельской области от 11.01.2019 № 3п
"Об утверждении местоположения береговых линий (границ водных объектов) в бассейне р. Северная Двина на участке от устья р. Вычегда до устья р. Верхняя Тойма, в границах поселений"
Номер опубликования: 2901201901160004
Дата опубликования: 16.01.2019
Страница №7 из 62:
Увеличить