Официальное опубликование правовых актов
ОФИЦИАЛЬНОЕ ОПУБЛИКОВАНИЕ
Постановление Министерства природных ресурсов и лесопромышленного комплекса Архангельской области от 11.01.2019 № 2п
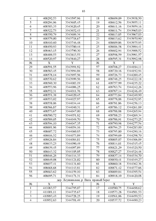
"Об утверждении местоположения береговых линий (границ водных объектов) в бассейне р. Вага на участке от устья р. Устья до впадения р. Вага в р. Северная Двина, в границах поселений"
Номер опубликования: 2901201901160003
Дата опубликования: 16.01.2019
Страница №66 из 105:
Увеличить