Официальное опубликование правовых актов
ОФИЦИАЛЬНОЕ ОПУБЛИКОВАНИЕ
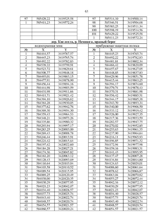
Постановление Министерства природных ресурсов и лесопромышленного комплекса Архангельской области от 07.12.2018 № 60п
"Об утверждении границ водоохранных зон водных объектов и их прибрежных защитных полос в бассейне р. Пинега на участке от устья р. Шоча до устья р. Покшеньга, в границах поселений"
Номер опубликования: 2901201812120010
Дата опубликования: 12.12.2018
Страница №68 из 234:
Увеличить