Официальное опубликование правовых актов
ОФИЦИАЛЬНОЕ ОПУБЛИКОВАНИЕ
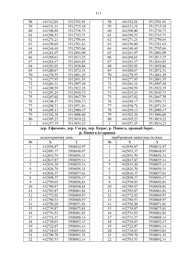
Постановление Министерства природных ресурсов и лесопромышленного комплекса Архангельской области от 05.12.2018 № 58п
"Об утверждении границ водоохранных зон водных объектов и их прибрежных защитных полос в бассейне р. Пинега на участке от истока р. Пинега до устья р. Шоча, в границах поселений"
Номер опубликования: 2901201812120002
Дата опубликования: 12.12.2018
Страница №115 из 178:
Увеличить