Официальное опубликование правовых актов
ОФИЦИАЛЬНОЕ ОПУБЛИКОВАНИЕ
Постановление Министерства топливно-энергетического комплекса и жилищно-коммунального хозяйства Архангельской области от 03.12.2018 № 182-п
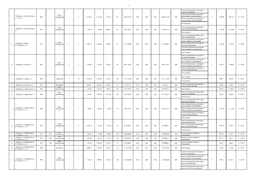
"О внесении изменений в краткосрочный план реализации региональной программы капитального ремонта общего имущества в многоквартирных домах, расположенных на территории Архангельской области, на 2017 – 2019 годы"
Номер опубликования: 2901201812110005
Дата опубликования: 11.12.2018
Страница №7 из 90:
Увеличить