Официальное опубликование правовых актов
ОФИЦИАЛЬНОЕ ОПУБЛИКОВАНИЕ
Постановление Министерства природных ресурсов и лесопромышленного комплекса Архангельской области от 25.04.2018 № 10п
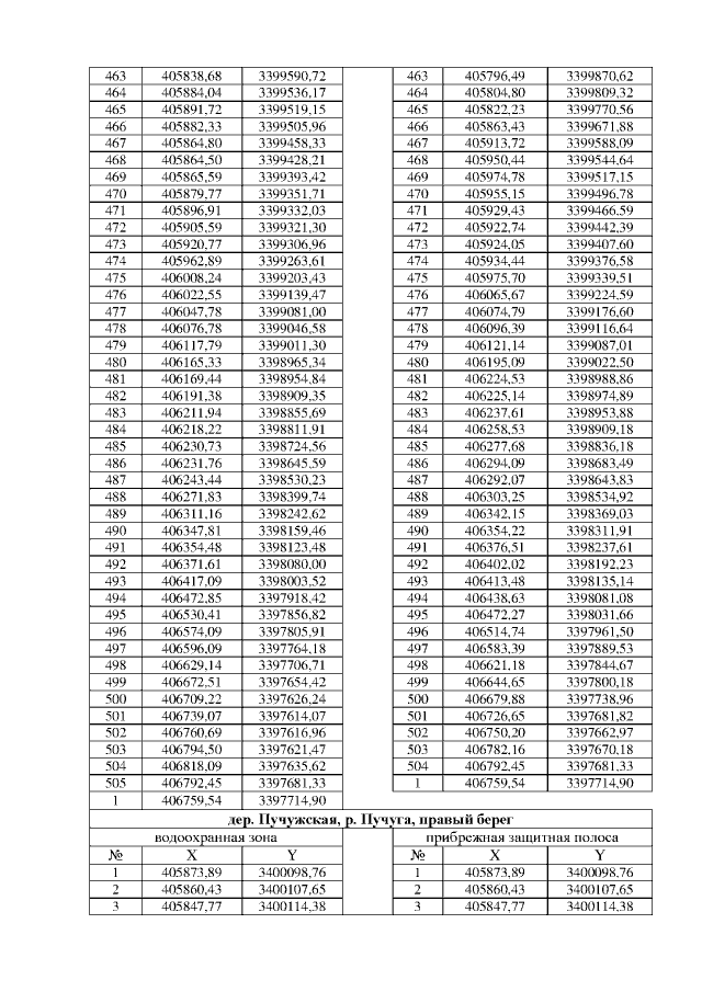
"Об утверждении границ водоохранных зон водных объектов и их прибрежных защитных полос в бассейне р. Северная Двина на участке от устья р. Верхняя Тойма до устья р. Вага, в границах поселений"
Номер опубликования: 2901201804280003
Дата опубликования: 28.04.2018
Страница №350 из 471:
Увеличить