Официальное опубликование правовых актов
ОФИЦИАЛЬНОЕ ОПУБЛИКОВАНИЕ
Постановление Министерства природных ресурсов и лесопромышленного комплекса Архангельской области от 04.12.2017 № 35 п
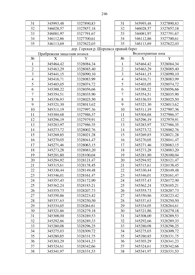
"Об утверждении границ водоохранных зон водных объектов и их прибрежных защитных полос в бассейне р. Вага на участке от устья р. Устья до впадения р. Вага в р. Северная Двина, в границах поселений"
Номер опубликования: 2901201712070033
Дата опубликования: 07.12.2017
Страница №246 из 299:
Увеличить