Официальное опубликование правовых актов
ОФИЦИАЛЬНОЕ ОПУБЛИКОВАНИЕ
Постановление Министерства природных ресурсов и лесопромышленного комплекса Архангельской области от 30.10.2017 № 31п
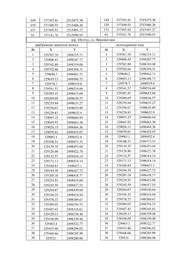
"Об утверждении границ водоохранных зон водных объектов и их прибрежных защитных полос в бассейне реки Онега на территории Архангельской области на участке от административной границы с Вологодской областью до устья реки Кена, в границах поселений"
Номер опубликования: 2901201711030013
Дата опубликования: 03.11.2017
Страница №206 из 268:
Увеличить