Официальное опубликование правовых актов
ОФИЦИАЛЬНОЕ ОПУБЛИКОВАНИЕ
Постановление Министерства природных ресурсов и лесопромышленного комплекса Архангельской области от 28.09.2017 № 26п
"О внесении изменений в постановление министерства природных ресурсов и лесопромышленного комплекса Архангельской области от 07 марта 2017 года № 4п"
Номер опубликования: 2901201710040001
Дата опубликования: 04.10.2017
Страница №165 из 194:
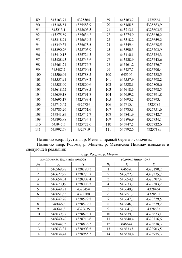
Увеличить