Официальное опубликование правовых актов
ОФИЦИАЛЬНОЕ ОПУБЛИКОВАНИЕ
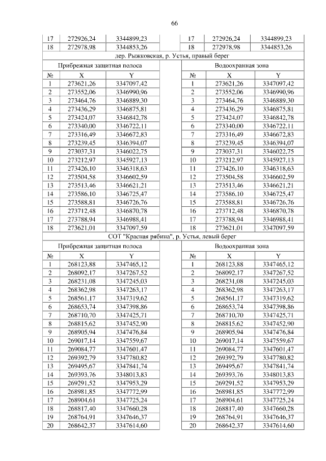
Постановление Министерства природных ресурсов и лесопромышленного комплекса Архангельской области от 17.04.2017 № 10п
"Об утверждении границ водоохранных зон водных объектов и их прибрежных защитных полос в бассейне р. Устья, в границах поселений"
Номер опубликования: 2901201704210006
Дата опубликования: 21.04.2017
Страница №66 из 236:
Увеличить