Официальное опубликование правовых актов
ОФИЦИАЛЬНОЕ ОПУБЛИКОВАНИЕ
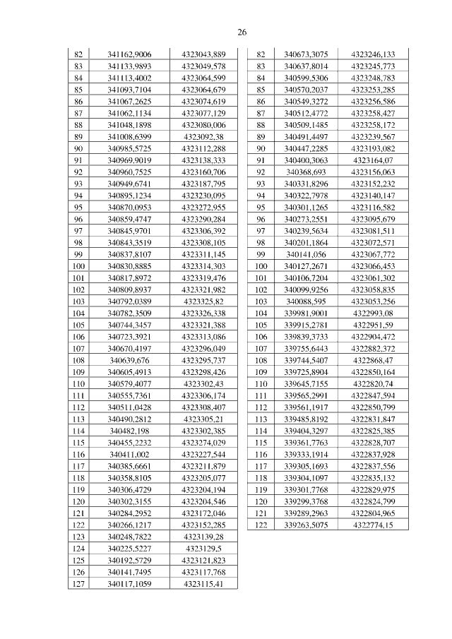
Постановление Министерства природных ресурсов и лесопромышленного комплекса Архангельской области от 06.04.2017 № 9п
"Об утверждении границ водоохранных зон водных объектов и их прибрежных защитных полос в бассейне р. Вычегда на территории Архангельской области на участке от административной границы с Республикой Коми до устья р. Виледь, в границах поселений"
Номер опубликования: 2901201704070003
Дата опубликования: 07.04.2017
Страница №26 из 159:
Увеличить