Официальное опубликование правовых актов
ОФИЦИАЛЬНОЕ ОПУБЛИКОВАНИЕ
Постановление Министерства труда, занятости и социального развития Архангельской области от 30.03.2017 № 7-п
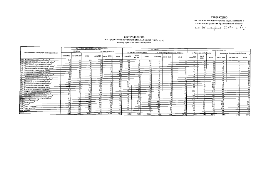
"Об утверждении на 2017 год распределения квот предоставления сертификатов на полную (частичную) оплату путевок, проезда и сопровождения организованных групп детей к местам отдыха и обратно"
Номер опубликования: 2901201704030001
Дата опубликования: 03.04.2017
Страница №3 из 5:
Увеличить