Официальное опубликование правовых актов
ОФИЦИАЛЬНОЕ ОПУБЛИКОВАНИЕ
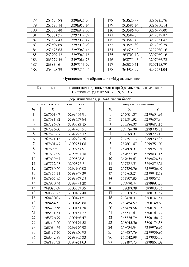
Постановление Министерства природных ресурсов и лесопромышленного комплекса Архангельской области от 07.03.2017 № 3п
"Об утверждении границ водоохранных зон водных объектов и их прибрежных защитных полос в бассейне р. Вага на территории Архангельской области на участке от административной границы с Вологодской областью до устья р. Устья, в границах поселений"
Номер опубликования: 2901201703100006
Дата опубликования: 10.03.2017
Страница №22 из 213:
Увеличить