Официальное опубликование правовых актов
ОФИЦИАЛЬНОЕ ОПУБЛИКОВАНИЕ
Постановление агентства по тарифам и ценам Архангельской области от 29.12.2016 № 71-э/11
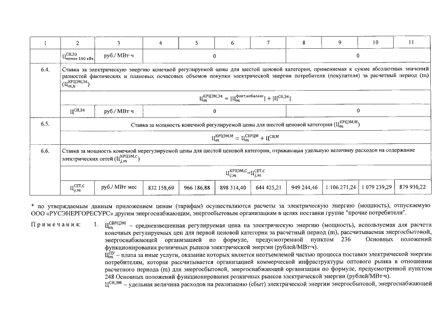
"Об установлении цен (тарифов) на электрическую энергию (мощность), поставляемую ООО "РУСЭНЕРГОРЕСУРС" покупателям на розничных рынках на территориях, объединенных в неценовые зоны оптового рынка, за исключением электрической энергии (мощности), поставляемой населению и приравненным к нему категориям потребителей"
Номер опубликования: 2901201612300025
Дата опубликования: 30.12.2016
Страница №14 из 25:
Увеличить