Официальное опубликование правовых актов
ОФИЦИАЛЬНОЕ ОПУБЛИКОВАНИЕ
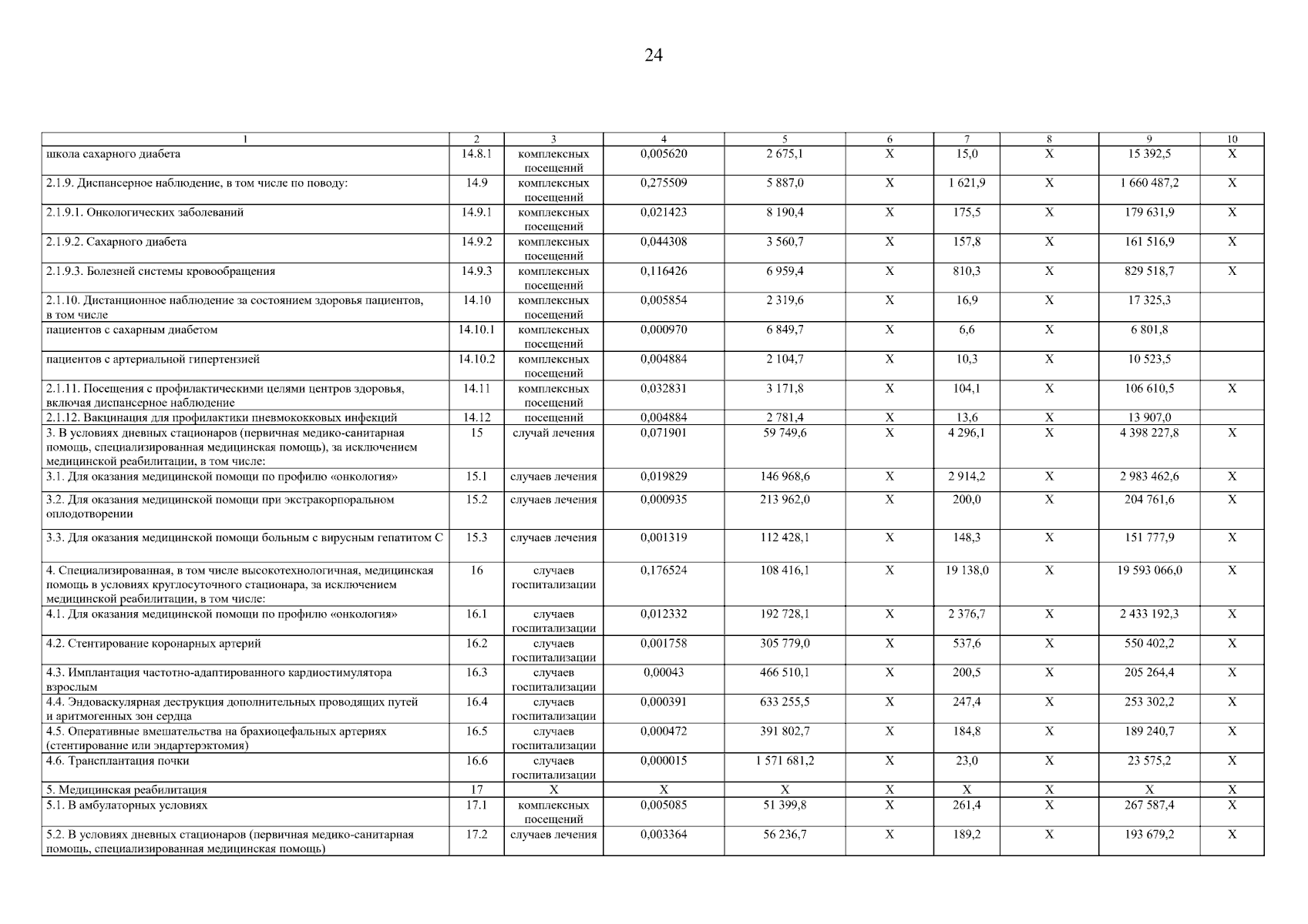
Постановление Правительства Архангельской области от 29.12.2025 № 1290-пп
"Об утверждении территориальной программы государственных гарантий бесплатного оказания гражданам медицинской помощи в Архангельской области на 2026 год и на плановый период 2027 и 2028 годов"
Номер опубликования: 2900202512300024
Дата опубликования: 30.12.2025
Страница №187 из 214:
Увеличить