Официальное опубликование правовых актов
ОФИЦИАЛЬНОЕ ОПУБЛИКОВАНИЕ
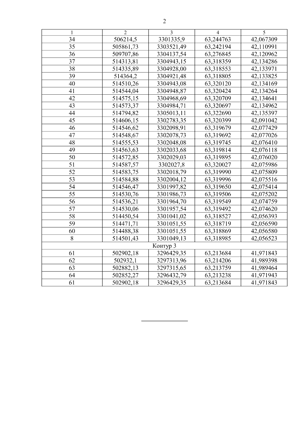
Указ губернатора Архангельской области от 02.12.2025 № 138-у
"Об установлении охранной зоны Звозского государственного природного парка регионального значения"
Номер опубликования: 2900202512080004
Дата опубликования: 08.12.2025
Страница №4 из 8:
Увеличить