Официальное опубликование правовых актов
ОФИЦИАЛЬНОЕ ОПУБЛИКОВАНИЕ
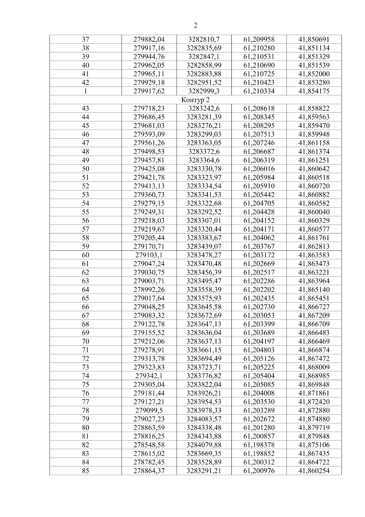
Указ губернатора Архангельской области от 27.11.2025 № 132-у
"Об установлении охранной зоны памятника природы регионального значения "Березниковский сосновый бор"
Номер опубликования: 2900202512030009
Дата опубликования: 03.12.2025
Страница №4 из 10:
Увеличить