Указ губернатора Архангельской области от 27.11.2025 № 129-у
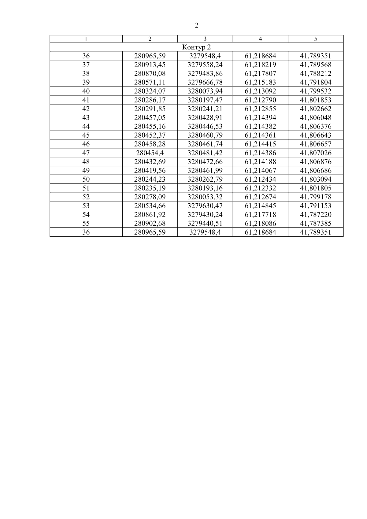
"Об установлении охранной зоны памятника природы регионального значения "Шунемский сосновый бор"
"Об установлении охранной зоны памятника природы регионального значения "Шунемский сосновый бор"
Номер опубликования: 2900202512020009
Дата опубликования:
02.12.2025
