Официальное опубликование правовых актов
ОФИЦИАЛЬНОЕ ОПУБЛИКОВАНИЕ
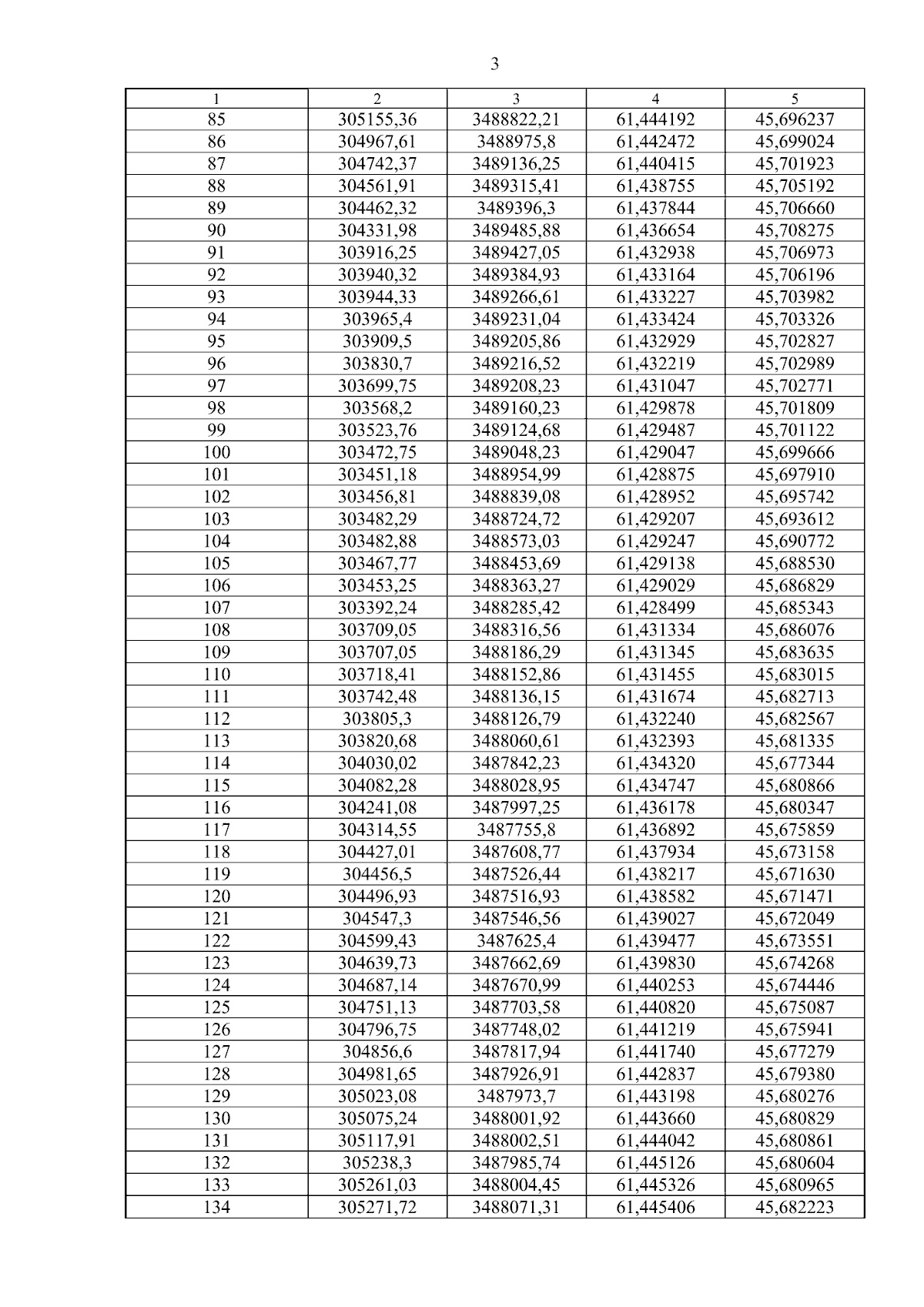
Указ губернатора Архангельской области от 27.11.2025 № 128-у
"Об установлении охранной зоны памятника природы регионального значения "Чурозеро"
Номер опубликования: 2900202512020001
Дата опубликования: 02.12.2025
Страница №5 из 10:
Увеличить