Официальное опубликование правовых актов
ОФИЦИАЛЬНОЕ ОПУБЛИКОВАНИЕ
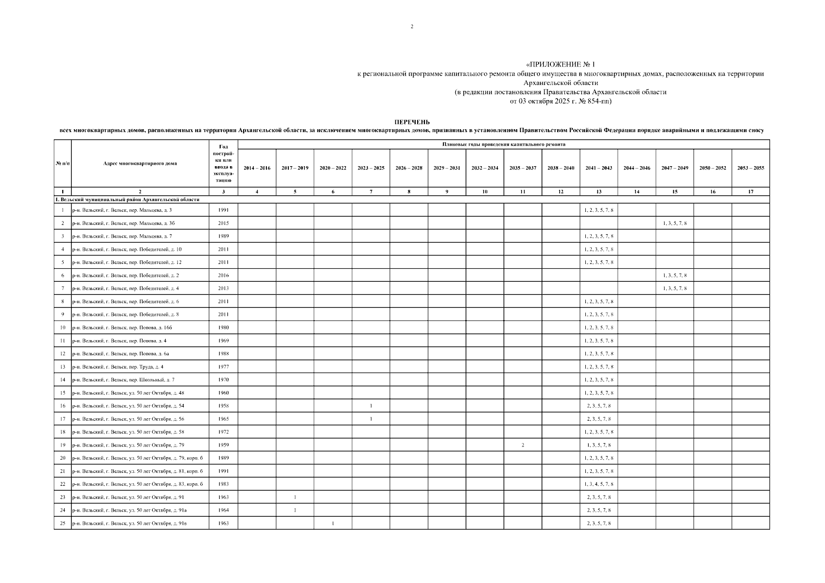
Постановление Правительства Архангельской области от 03.10.2025 № 854-пп
"О внесении изменений в региональную программу капитального ремонта общего имущества в многоквартирных домах, расположенных на территории Архангельской области"
Номер опубликования: 2900202510080002
Дата опубликования: 08.10.2025
Страница №3 из 261:
Увеличить