Официальное опубликование правовых актов
ОФИЦИАЛЬНОЕ ОПУБЛИКОВАНИЕ
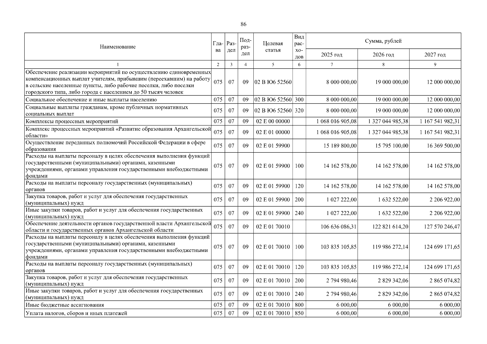
Областной закон Архангельской области от 02.09.2025 № 254-внеоч.-ОЗ
"О внесении изменений в областной закон "Об областном бюджете на 2025 год и на плановый период 2026 и 2027 годов"
Номер опубликования: 2900202509020006
Дата опубликования: 02.09.2025
Страница №98 из 411:
Увеличить